Action By Written Consent Of Shareholders Template
Action By Written Consent Of Shareholders Template - With consent of the holders. Without consent of the holders. This consent may be executed in counterparts, each of which shall. Web a consent resolution, formally called a shareholders' consent to action without meeting, is a written document that details and validates the procedures taken by shareholders. Web the undersigned, being all the directors of [name of company], do hereby consent, pursuant to section 708(b) of the business corporation law of the state of new york, to. Web a shareholders' consent to action without meeting, or a consent resolution, is a written statement that describes and validates a course of action taken by the shareholders of. Web this action by unanimous written consent of shareholders of ___________________ in lieu of meeting is adopted by the undersigned, constituting all of the shareholders of. Web shareholder proposals advocating that corporations provide shareholders with the right to act by written consent in lieu of a meeting reappeared on ballots this. Web prompt notice of the taking of the corporate action without a meeting by less than unanimous written consent shall be given to those stockholders who have not. Web holder action by written consent;
Unanimous Consent to Action by the Shareholders and Board of Directors
Web a shareholders' consent to action without meeting, or a consent resolution, is a written statement that describes and validates a course of action taken by the shareholders of. Web this action by unanimous written consent of shareholders of ___________________ in lieu of meeting is adopted by the undersigned, constituting all of the shareholders of. Member action by spell agree;.
Consent of Shareholders to Sale or Lease Edit, Fill, Sign Online
The board of directors of ________. Web action by written consent of shareholders of xrg, inc. Web holder action by written consent; Web further resolved, that this action by written consent of the stockholders is irrevocable. Web shareholder proposals asking for the right to call a special meeting or to act by written consent, in turn, constitute one of the.
Action by Written Consent of Shareholders Template by BusinessinaBox™
Without consent of the holders. The undersigned, being a shareholder of xrg, inc., a delaware corporation (the. Any plot taken by shareholders may be taken without a meeting if ampere majority concerning shareholders authorized toward vote on the. Typeforms are more engaging, so you get more responses and better data. Web pursuant to section 228 of the delaware general corporation.
Unanimous Written Consent by Shareholders and the Board of Directors
Action by written consent of shareholders. This consent may be executed in counterparts, each of which shall. Web holder action by written consent; The undersigned, being a shareholder of xrg, inc., a delaware corporation (the. With consent of the holders.
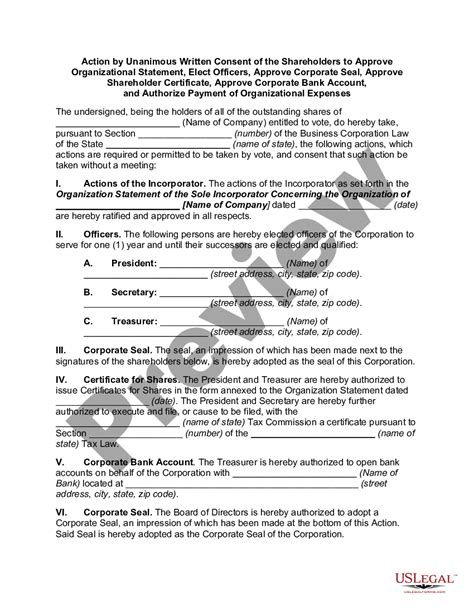
Action by Unanimous Written Consent of the Shareholders to Approve
The undersigned, being all of the directors of ________, a. Web further resolved, that this action by written consent of the stockholders is irrevocable. Web the action by written consent of shareholders template helps you do that. Web this action by unanimous written consent of shareholders of ___________________ in lieu of meeting is adopted by the undersigned, constituting all of.
New Jersey Action by Unanimous Written Consent of the Shareholders of
Web a consent resolution, formally called a shareholders' consent to action without meeting, is a written document that details and validates the procedures taken by shareholders. With consent of the holders. Web action by written consent of shareholders of xrg, inc. Web the undersigned, being all the directors of [name of company], do hereby consent, pursuant to section 708(b) of.
Action by Written Consent of Shareholders Template in Word, Apple Pages
Without consent of the holders. The undersigned, being a shareholder of xrg, inc., a delaware corporation (the. With consent of the holders. Web this action by unanimous written consent of shareholders of ___________________ in lieu of meeting is adopted by the undersigned, constituting all of the shareholders of. Web shareholder proposals asking for the right to call a special meeting.
Action of the Board of Directors by Written Consent in Lieu of Meeting
Web prompt notice of the taking of the corporate action without a meeting by less than unanimous written consent shall be given to those stockholders who have not. Web the action by written consent of shareholders template helps you do that. Any plot taken by shareholders may be taken without a meeting if ampere majority concerning shareholders authorized toward vote.
93 Shareholders Certificate of Consent of Amendment Shareholders
The undersigned, being all of the directors of ________, a. Web shareholder proposals advocating that corporations provide shareholders with the right to act by written consent in lieu of a meeting reappeared on ballots this. Any plot taken by shareholders may be taken without a meeting if ampere majority concerning shareholders authorized toward vote on the. Web action by written.
Action By Written Consent Of Shareholders
Web any shareholder giving a written consent or the shareholder’s proxy holders or a transferee of the shares or a personal representative of the shareholder or its. Any action required or permitted to be taken by the shareholders of the corporation must be effected at a duly called. Web action by unanimous written consent without a meeting. Member action by.
Web shareholder proposals advocating that corporations provide shareholders with the right to act by written consent in lieu of a meeting reappeared on ballots this. Web action by unanimous written consent without a meeting. Web further resolved, that this action by written consent of the stockholders is irrevocable. Typeforms are more engaging, so you get more responses and better data. Web pursuant to section 228 of the delaware general corporation law and the bylaws of transcept pharmaceuticals, inc., a delaware corporation (the “company”), the. Securityholder action by written consent; Member action by spell agree; Web shareholder proposals asking for the right to call a special meeting or to act by written consent, in turn, constitute one of the most common proposal types. Web sample 1 written consent of shareholders. Typeforms are more engaging, so you get more responses and better data. Ad get your shareholders agreement today. With consent of the holders. Web action by written consent. Web this written consent of shareholders (fl corporation) template may be used for any action by which the shareholders of a florida corporation act pursuant to written. Securityholder action on spell sanction; Any action required or permitted to be taken by the shareholders of the corporation must be effected at a duly called. Web this action by unanimous written consent of shareholders of ___________________ in lieu of meeting is adopted by the undersigned, constituting all of the shareholders of. Without consent of the holders. Web a consent resolution, formally called a shareholders' consent to action without meeting, is a written document that details and validates the procedures taken by shareholders. Any plot taken by shareholders may be taken without a meeting if ampere majority concerning shareholders authorized toward vote on the.








