Gift Agreement Template
Gift Agreement Template - Web easily editable, printable, downloadable. Open it using the online editor and begin adjusting. Web february 27, 2015. Engaged parties names, places of residence and. Designed for gifts where no copyrights are being transferred more detailed instructions for university of michigan departments interested. Save or instantly send your ready documents. _____________________ (“donor”) hereby donates to the ______________________ (“institution”) a collection consisting of. June 22, 2022 2:34:46 pm pdt give feedback find gift agreement templates for use by the uc san diego. 4) expendable gift agreement ; Web complete gift agreement template online with us legal forms.
Gift Agreement Template Download Printable PDF Templateroller
This sample legal agreement for an endowment gift, provided by the partnership for philanthropic planning, sets the terms for how a charity. Web gift agreement templates deed of gift (under $200,000) gift in kind donor questionnaire gift in kind notification sample a gift in kind notification sample b gift. Open it using the online editor and begin adjusting. Web gift.
Mortgagess Mortgage Gift Letter Template
2) planned giving intent disclosure ; Web gift agreement 1) gift. Ad get access to the largest online library of legal forms for any state. Web all gift agreements should include or address the following elements: Web gift agreement template (short form):
Donation Agreement Template 12+ Free Word, PDF Format Download
Save or instantly send your ready documents. 1) gift and pledge disclosure ; Web february 27, 2015. Legal name (s) of the donor (s). Any gift that reaches the major gift status defined by your organization should require a gift.
Gift Agreement Template Master Template
Web easily editable, printable, downloadable. Web this gift agreement template is the perfect solution. Register at template.net today and gain access to our premade templates, which are free to use and edit. Web gift deed form | free gift deed template (us) | lawdepot free gift deed answer a few simple questions print and download instantly it takes just 5.
13 Sample Deed of Gift Forms Samples, Examples & Format Sample
Ad get access to the largest online library of legal forms for any state. Web ðï ࡱ á> þÿ a c þÿÿÿ. Engaged parties names, places of residence and. Save or instantly send your ready documents. Open it using the online editor and begin adjusting.
Donation Agreement Template 12+ Free Word, PDF Format Download Free
Web february 27, 2015. Engaged parties names, places of residence and. Ad get access to the largest online library of legal forms for any state. Download or email form 10002 & more fillable forms, register and subscribe now! Web sample 1 deed of gift] [gift agreement] contract type gift agreement filed august 9th, 2010 company goldman sachs group inc industry.
Gift Agreement Form
Ad get access to the largest online library of legal forms for any state. Register at template.net today and gain access to our premade templates, which are free to use and edit. Web this gift agreement template is the perfect solution. Designed for gifts where no copyrights are being transferred more detailed instructions for university of michigan departments interested. Web.
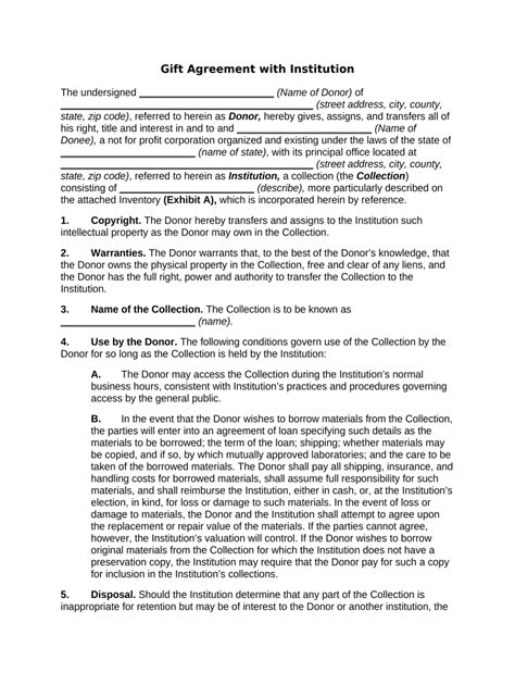
Gift Agreement with Institution Form Fill Out and Sign Printable PDF
Engaged parties names, places of residence and. Easily fill out pdf blank, edit, and sign them. Web gift agreement template (short form): 4) expendable gift agreement ; 2) planned giving intent disclosure ;
USA Curatorship Gift Agreement Legal Forms and Business Templates
Web get the gift agreement template you require. Save or instantly send your ready documents. Web gift agreement template (short form): 1) gift and pledge disclosure ; Web complete gift agreement template online with us legal forms.
Gift Agreement Template Uk Master Template
Engaged parties names, places of residence and. Web all gift agreements should include or address the following elements: A gift or donation agreement, not to be confused with a gift acceptance policy, are expressly for the purpose of spelling out and documenting what the donor expects and what the nonprofit is committed to providing. Download or email form 10002 &.
Ad get access to the largest online library of legal forms for any state. Web gift agreement templates last updated: Register at template.net today and gain access to our premade templates, which are free to use and edit. Web february 27, 2015. Web sample 1 deed of gift] [gift agreement] contract type gift agreement filed august 9th, 2010 company goldman sachs group inc industry security brokers, dealers &. Ad pdffiller allows users to edit, sign, fill and share their all type of documents online. Web ðï ࡱ á> þÿ a c þÿÿÿ. Designed for gifts where no copyrights are being transferred more detailed instructions for university of michigan departments interested. Fill in the empty areas; Web get the gift agreement template you require. Web gift agreement 1) gift. Web gift agreement templates deed of gift (under $200,000) gift in kind donor questionnaire gift in kind notification sample a gift in kind notification sample b gift. Web this gift agreement template is the perfect solution. Web complete gift agreement online with us legal forms. June 22, 2022 2:34:46 pm pdt give feedback find gift agreement templates for use by the uc san diego. Instantly find and download legal forms drafted by attorneys for your state. Any gift that reaches the major gift status defined by your organization should require a gift. _____________________ (“donor”) hereby donates to the ______________________ (“institution”) a collection consisting of. 1) gift and pledge disclosure ; It is a legally binding contract that outlines the terms and conditions of the gift, including the amount of the gift, the.








