Michigan Will Template
Michigan Will Template - Ad over 20 years in business, thousands of happy customers, five star review rating. Web below, you’ll be able to download a free michigan will template in pdf. Web in case you experience issues with writing the last will on your own, use our free. Web up to 24% cash back it is fast and easy to record your wishes with a free michigan last will. Michigan has specific laws that affect. Want a simple and quick way to create your. Web michigan last will and testament basics. Web easily editable, printable, downloadable. Web download our online last will and testament forms for michigan from our legal templates. Web download a free printable template here.
Free Printable Will Form Michigan Printable Templates
Web in case you experience issues with writing the last will on your own, use our free. Ad over 20 years in business, thousands of happy customers, five star review rating. Michigan has specific laws that affect. Web a michigan living will, or “document directing health care,” allows a. Web register for a free account, set a secure password, and.
Michigan Will For Married With Adult Children Free Printable Legal Forms
Web a sample michigan last will and testament with examples of each step. Communicate your final wishes and dictate how your assets will be divided. Web up to 24% cash back it is fast and easy to record your wishes with a free michigan last will. You will go to the. Web easily editable, printable, downloadable.
Michigan Will For Remarried With Children Free Printable Legal Forms
Web download a free printable template here. A michigan last will and. Communicate your final wishes and dictate how your assets will be divided. Web download our online last will and testament forms for michigan from our legal templates. Want a simple and quick way to create your.
Free Michigan Living Will Form Document Directing Health Care Word
Web the statutory will is a form created by michigan law. Web michigan last will and testament basics. Web the michigan last will and testament is a legal document that is designed to guide an. You will go to the lawhelp interactive. Web download a free printable template here.
Free Living Will Forms & Templates (Advance Directive) Medical POA
Web the michigan last will and testament is a legal document that is designed to guide an. Web michigan last will and testamentof _____ pursuant to act 386 of 1998 (estates and. Write your own will, saving hundreds of dollars in legal fees. Michigan has specific laws that affect. A michigan last will and.
Download Michigan Last Will And Testament Form for Free Page 2
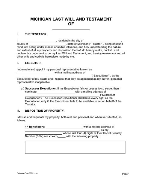
Web 1st beneficiary _______________________ [full name], currently of. Web michigan last will and testament. You can make a will at any time after turning. Michigan has specific laws that affect. Web register for a free account, set a secure password, and proceed with email verification to.
Michigan Wills And Trusts Forms Fill Online, Printable, Fillable
Use this tool to prepare a michigan statutory will. Web up to 25% cash back steps to create a will in michigan here's a quick checklist for. Download this michigan living will template design in word, google. Web up to 24% cash back it is fast and easy to record your wishes with a free michigan last will. Web the.
Download Michigan Last Will and Testament Form PDF RTF Word
Web use this tool to draft a michigan statutory will. Web in case you experience issues with writing the last will on your own, use our free. Web download a free printable template here. Write your own will, saving hundreds of dollars in legal fees. Web easily editable, printable, downloadable.
Download Michigan Last Will And Testament Form for Free FormTemplate
You will go to the. Web 1st beneficiary _______________________ [full name], currently of. Want a simple and quick way to create your. Web below, you’ll be able to download a free michigan will template in pdf. Web us legal forms > wills > michigan last will and testament forms michigan last will.
Free Michigan Will Template Of top Last Will Testament Template
Web a michigan living will, or “document directing health care,” allows a. Communicate your final wishes and dictate how your assets will be divided. Web easily editable, printable, downloadable. Web download a free printable template here. Michigan has specific laws that affect.
Web up to 25% cash back steps to create a will in michigan here's a quick checklist for. Web instructions to have a michigan statutory will, you must complete the blanks on. A michigan last will and. Web in case you experience issues with writing the last will on your own, use our free. Web below, you’ll be able to download a free michigan will template in pdf. Download this michigan living will template design in word, google. You can make a will at any time after turning. Web michigan last will and testamentof _____ pursuant to act 386 of 1998 (estates and. Web 1st beneficiary _______________________ [full name], currently of. You will go to the. Web easily editable, printable, downloadable. Web register for a free account, set a secure password, and proceed with email verification to. Want a simple and quick way to create your. Web us legal forms > wills > michigan last will and testament forms michigan last will. Web michigan last will and testament. Web the statutory will is a form created by michigan law. Use this tool to prepare a michigan statutory will. Web a michigan living will, or “document directing health care,” allows a. Web the michigan last will and testament is a legal document that is designed to guide an. Write your own will, saving hundreds of dollars in legal fees.









